您現在的位置:中國農業儀器網 > 技術文章 > 手持葉面積儀是否適用于針葉的葉面積測量呢?
手持葉面積儀是否適用于針葉的葉面積測量呢?
來源: 類別:技術文章 更新時間:2010-10-29 閱讀次
手持葉面積儀是否適用于針葉的葉面積測量呢?
使用手持葉面積儀測量植物的葉面積,這種測量方法比較的準確,同時應用的領域也是比較的廣,但是使用這種測量方法來進行測量要注意不能長時間的使用,以免引來誤差,同時在測量過程中還須時刻保持透光板干凈,否則會影響測量精度,但是在測量針葉樹葉的葉面積測量上就不好使用這種測量方法來進行操作了,一般是使用體積法來進行測量。
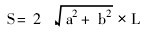
針葉樹多以二針、三針或五針一束,不同樹種具有不同的橫切面,因此,針葉面積的換算公式,主要考慮自身的解剖構造,這個時候就可以采用經驗公式法發來進行換算得出葉面積指數。經驗公式如下:
(1)云杉

(2)二針松
S=π×L×(d+d1) /2+2dL
(3)三針松
S= (2πR /3+R+R)×L×3
(4)五針松
S= [ (2πR /5) +R+R]×L×5
其中:S:葉面積;a, b:菱形的邊長;S:一束針葉葉面積;L:針葉長;D:針葉平坦面的寬度;d1:與平坦面垂直方向的厚度;R:針葉平均內徑。
體積法是近年來測定針葉樹葉面積常用的方法,這種測量方法是適用于任何一種針葉的葉面積測量,其計算公式如下:

其中:A:葉面積; V:針葉體積(用排水法測定);n:每束針葉數;L:針葉長度。
同其他測定針葉面積的公式相比,此方法可適用于不同橫截面的針葉面積,其操作簡單,易于推廣。便攜式葉面積測定儀在針葉的測量上有一定的局限性,但是在其他地方以及領域的測量則是使用比較多的。
使用手持葉面積儀測量植物的葉面積,這種測量方法比較的準確,同時應用的領域也是比較的廣,但是使用這種測量方法來進行測量要注意不能長時間的使用,以免引來誤差,同時在測量過程中還須時刻保持透光板干凈,否則會影響測量精度,但是在測量針葉樹葉的葉面積測量上就不好使用這種測量方法來進行操作了,一般是使用體積法來進行測量。
針葉樹多以二針、三針或五針一束,不同樹種具有不同的橫切面,因此,針葉面積的換算公式,主要考慮自身的解剖構造,這個時候就可以采用經驗公式法發來進行換算得出葉面積指數。經驗公式如下:
(1)云杉

(2)二針松
S=π×L×(d+d1) /2+2dL
(3)三針松
S= (2πR /3+R+R)×L×3
(4)五針松
S= [ (2πR /5) +R+R]×L×5
其中:S:葉面積;a, b:菱形的邊長;S:一束針葉葉面積;L:針葉長;D:針葉平坦面的寬度;d1:與平坦面垂直方向的厚度;R:針葉平均內徑。
體積法是近年來測定針葉樹葉面積常用的方法,這種測量方法是適用于任何一種針葉的葉面積測量,其計算公式如下:

其中:A:葉面積; V:針葉體積(用排水法測定);n:每束針葉數;L:針葉長度。
同其他測定針葉面積的公式相比,此方法可適用于不同橫截面的針葉面積,其操作簡單,易于推廣。便攜式葉面積測定儀在針葉的測量上有一定的局限性,但是在其他地方以及領域的測量則是使用比較多的。
- 【中國農業儀器網】聲明部分文章轉載自其它媒體,轉載目的在于傳遞更多信息,并不代表本網贊同其觀點和對其真實性負責,且不承擔此類作品侵權行為的直接責任及連帶責任。如涉及作品內容、版權和其它問題,請在30日內與本網聯系。
- 上一篇:種子千粒重對種子的發芽率以及最終..
- 下一篇:環境記錄儀的6大選購指南
推薦儀器
最近更新儀器
相關技術文章









